| t111 古典理想気体2 | |
| f-denshi.com 更新日: 21/10/12 | |
| サイト検索 | |
| 目次へ | |
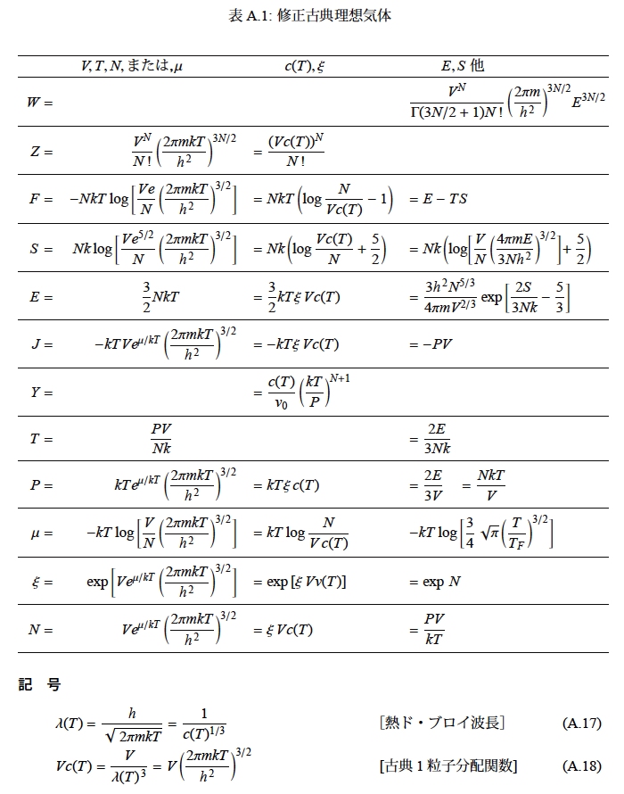
理想気体の古典統計力学量のまとめ
| 古典理想気体 | 古典理想気体 (スピン) 2→1(なし) | |||||||||||||||||||||||||||||||||||||||||||||||||||||||||||
| 状態数 W0(E)= |
|
|
||||||||||||||||||||||||||||||||||||||||||||||||||||||||||
| Z= |
|
|
|
|||||||||||||||||||||||||||||||||||||||||||||||||||||||||
| Ξ= |
|
exp(ξVc(T)) |
|
|||||||||||||||||||||||||||||||||||||||||||||||||||||||||
| S= |
|
|
|
|||||||||||||||||||||||||||||||||||||||||||||||||||||||||
| F= |
|
|
|
|||||||||||||||||||||||||||||||||||||||||||||||||||||||||
| E |
|
|
|
|||||||||||||||||||||||||||||||||||||||||||||||||||||||||
| J |
|
-kTVξc(T) |
|
|||||||||||||||||||||||||||||||||||||||||||||||||||||||||
| Y |
|
|||||||||||||||||||||||||||||||||||||||||||||||||||||||||||
| P |
|
kTξc(T) |
|
|||||||||||||||||||||||||||||||||||||||||||||||||||||||||
| μ |
|
|
|
|||||||||||||||||||||||||||||||||||||||||||||||||||||||||
| <N/V> |
|
ξc(T) |
|
|||||||||||||||||||||||||||||||||||||||||||||||||||||||||
ξ=exp(μ/kT)
c(T)= 2πmkT 3/2 = 1 ; λ(T)= h 熱ド・ブロイ波長 h2 λ(T)3
2πmkT
c(T)= 2πmkT 3/2 = 2πm 3/2 ≡c(β) h2 βh2
以下,統計力学 I から抜粋 (21/09/05)





SUSTAINABLE TOKIWADAIGAK SINCE 2002